A. Pengertian Kerucut atau Cone
Kerucut adalah bangun ruang yang memiliki 2 sisi yaitu sebuah lingkaran dan sebuah bidang lengkung. Lingkaran pada kerucut secara umum bertindak sebagai alas dan bidang lengkung menunjuk sebuah titik yang merupakan puncak kerucut. Kerucut merupakan salah satu jenis limas yang istimewa dan dalam bahasa inggris disebut cone. Sebelum mempelajari rumus volume kerucut dan luas permukaan kerucut, sebaiknya kita memahami sifat-sifat kerucut, bagian kerucut, dan jaring-jaring kerucut.
B. Sifat-Sifat Kerucut, Bagian Kerucut, dan Jaring-Jaring Kerucut
Berikut sifat-sifat kerucut:
- Kerucut tersusun oleh 2 buah sisi, yaitu lingkaran dan sebuah sisi lengkung.
- Sisi yang berbentuk lingkaran merupakan alas kerucut.
- Sisi yang berbentuk bidang lengkung membentuk selimut kerucut.
- Bidang lengkung pada kerucut merupakan juring lingkaran (sektor).
- Kerucut mempunyai 1 rusuk.
- Kerucut mempunyai 1 titik puncak.
C. Rumus Kerucut
t = tinggi
r = jari-jari
s = panjang garis pelukis (apotema), merupakan garis yang menghubungkan titik puncak dengan titik keliling alas kerucut.
Nilai s dapat dihitung menggunakan rumus Pythagoras.
π = 22/7 untuk jari-jari (r) kelipatan 7 dan 3,14 untuk jari-jari bukan kelipatan 7
Artikel terkait: Rumus Pythagoras Segitiga dan Contoh Soalnya
| Nama | Rumus |
|---|---|
| Volume (V) | ![]() |
| Luas permukaan (L) | ![]() |
| Luas alas (La) | ![]() |
| Garis Pelukis (s) | |
| Luas selimut (Ls) | |
| Jari-jari (r) diketahui V | ![]() |
| Jari-jari (r) diketahui L | ![]() |
| Jari-jari (r) diketahui Ls | ![]() |
| Tinggi (t) diketahui V | ![]() |
Contoh 1: Cara Menghitung Volume Kerucut, Luas Selimut Kerucut, dan Luas Permukaan Kerucut
Hitunglah volume, panjang garis pelukis, luas selimut, dan luas permukaan kerucut di bawah ini ...
Diketahui:
t = 24 cm
r = 7 cm
Ditanya:
a) Volume kerucut, b) Panjang garis pelukis, c) Luas Selimut, dan d) Luas Permukaan
Penyelesaian:
a) Volume kerucut
b) Panjang garis pelukis
Panjang garis pelukis dapat dihitung dengan rumus Pythagoras
c) Luas selimut
d) Luas permukaan
Contoh 2: Soal Mencari Jari-Jari Kerucut Jika Diketahui Volume dan Tingginya
Hitunglah jari-jari kerucut yang mempunyai tinggi 14 cm dengan volume 308 cm³ ...
Diketahui:
t = 14 cm
V = 308 cm³
Ditanya:
Jari-jari kerucut (r)
Penyelesaian:
Jadi, jari-jari kerucut adalah 7 cm.
Contoh 3: Soal Mencari Jari-Jari Kerucut Jika Diketahui Luas Permukaan
Hitunglah jari-jari kerucut yang mempunyai tinggi 20 cm dan luas permukaan 2640 cm²
Diketahui:
t = 20 cm
L = 2640 cm²
Ditanya:
Jari-jari kerucut (r)
Penyelesaian:
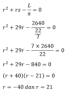
Untuk dapat membentuk faktor persamaan, dihitung terlebih dahulu panjang garis pelukis (s),
Kemudian substitusi nilai s = 29 ke persamaan berikut,
Dari hasil faktor persamaan dapat diuji
r = -40 cm tidak memenuhi syarat, karena hasil luas permukaan akan bernilai negatif atau tidak sama 2640 cm²
r = 21 cm memenuhi syarat, karena hasil hasil luas permukaan bernilai 2640 cm².
Jadi, jari-jari kerucut adalah 21 cm.
Contoh 4: Soal Mencari Tinggi Kerucut Jika Diketahui Volume
Hitunglah tinggi kerucut yang mempunyai jari-jari 5 cm dengan volume 157 cm³ ...
Diketahui:
r = 5 cm
V = 157 cm³
Ditanya:
Tinggi kerucut (t)
Penyelesaian:
Karena r bukan kelipatan 7, maka digunakan π = 3,14
Jadi, tinggi kerucut adalah 6 cm.
Animasi Kerucut: Pierce, Rod - Math is Fun
Tutorial lainnya: Daftar Isi Pelajaran Matematika
Sekian artikel “Rumus Kerucut | Rumus Volume Kerucut dan Luas Permukaan Kerucut”. Nantikan artikel menarik lainnya dan mohon untuk share dan juga menyukai Fans Page Advernesia. Terima kasih…





























Tinggi sebuah kerucut 24cm dan pelukisnya 25cm.Hitunglah luas permukaan tersebut?
(+)untuk menentukan luas permukaan kerucut, terlebih dahulu harus mencari ukuran jari²(r)alasnya, untuk mencari 'r' harus menggunakan rumus pyhthagoras.
Caranya Gimana kak!!!
Hai bayu, kakak akan mencoba membantu
Sehingga dapat dilihat bayangan segitiga siku-siku antar t, s, r pada kerucut
t = 24 cm (sisi tegak)
s = 25 cm (sisi miring)
maka sisi alas r = √(25² -24²) = √(625 - 576) = √49 = 7 cm
La = π x r x r = 22/7 x 7 cm x 7 cm = 154 cm²
Ls = π x r x s = 22/7 x 7 cm x 25 cm = 550 cm²
Maka Luas Kerucut = La + Ls = 154 cm² + 550 cm² = 704 cm²
Semoga bermanfaat 🙂
Makasih banyak yaa.
Ini sangat membantu saya dalam mengerjakan soal latihan di rumah 😇🙌🙏
Terima kasih kembali Esri
Senang dapat membantu belajarnya 🙂
aku mau nanya🥺
Diketahui volume kerucut 96 liter, jika tinggi kerucutnya 8 dm, maka luas permukaan kerucut itu adalah... dm²
Terima kasih semuanya🥰😇😇
Hai, Salsa R. F
Terima kasih kembali
Senang dapat membantu proses belajarnya 🙂
Kak kalo rumus mencari jari jari jika diket luas selimut kan = Ls/π dikali s
Kalo π-nya 22/7 gimana kak?
Soalnya : jika diketahui luas selimut kerucut 220 dm².hitunglah panjang jari jari kerucut,jika diketahui panjang garis pelukisnya 14 dm?
Hai, Kak Dyaa
Gunakan teknik perpindahan operasi hitung, sehingga diperoleh
Semoga membantu 🙂
Diketahui jari-jari kerucut adalah 7 cm dan luas permukaannya 704 cm. a. Hitunglah panjang garis pelukisnya! b. Berapa volume kerucut tersebut?
caranya gimana kak!!
Kk kalau misalnya soal nya seperti :
Sebuah kerucut memiliki volume 1.232 cm3.jika jari -jari alas kerucut 7cm ,luas permukaan kerucut tersebut!
"Tolong banget ya dijawab"
Hai, Kak Dea
Hal pertama yang perlu dihitung adalah tinggi kerucut
Kemudian hitung panjang garis pelukisnya, dengan teorema pythagoras, kemudian hitung luas permukaannya dengan jari-jari dan panjang gari pelukis yang telah didapatkan
Semoga membantu 🙂
Hai kak kalo soalnya : volume kerucut 4.928 cm² dan tingginya 24 cm maka luas alas kerucut tersebut adalah
Mohon di bantu kak terima kasih☺
Kak kalau soalnya misalkan:
Sebuah kerucut memiliki alas dengan panjang jari-jari 3cm dan tingginya 4cm. Hitunglah luas permukaan kerucut!
Diketahui: r→3cm
: t→4cm
Ditanya: L. P. Kerucut?
Rumusnya......?
Rumusnya bagaimana @Advernesia ?
Hai, Anggreni Kelas 6
Untuk itu, hitung terlebih dahulu garis pelukisnya
-------- s = √ 3² + 4² = 5 cm Karena r = 3 cm, maka gunakan π = 3.14 Kemudian hitung dengan rumus L (Luas Permukaan) di atas L = La + Ls = (π × r²) + (π × r × s) = π × r × (r + s) = 3.14 × 3 cm × (3 cm + 5 cm) = 3.14 × 3 cm × 8 cm = 75.36 cm²Semoga membantu
Kak mau tanya nih : )
Diketahui sebuah kerucut dengan diameter 14cm dan luasnya 704 cm². Tentukan apotema, tinggi dan volumenya!
Kak mau tanya
Sebuah balon air berbentuk seperti bola.Jika Diameter balon 63 cm, Volume air dalam Balon tersebut adalah .....cm³
Hai, Kak Syifa
Itu dapat menggunakan pendekatan rumus Volume Bola
Advernesia juga telah membuat artikel terkait bangun ruang bola
Semoga membantu 🙂
Hitunglah tinggi kerucut jika volume nya 1386 cm³ dan jari jari= 7 cm
Gimna kak mencarinya?
Hitunglah panjang diameter kerucut jika tingginya 24cm dan garis pelukisnya 26cm
Itu rumusnya gimana kak?
Hai, Kak Rene
Itu dapat menggunakan teorema Pythagoras
Dengan garis pelukis (s) sebagai sisi miring dan tinggi (t) sebagai salah satu sisi tegaknya, sehingga diameternya adalah 2x sisi tegak lainnya (r)
_______ r = √s² - t² _________ = √26² - 24² ___ = √576 = 24 Sehingga dapat dihitung d = 2r = 2 x 24 cm = 48 cmSemoga membantu 🙂
Kak mau tanya gimana cara menentukan perbandingan volume, jika diketahui tinggi dua buah kerucut perbandingan 1:4 dan jari jari alasnya perbandingan 4:1
Hitunglah tinggi kerucut jika volumenya 1.36 8 cm³ dan jari-jari = 7 cm
Bagaimana kak?
Sebuah kerucut dengan diameter AB=14cm, dan panjang garis pelukis (s), AT=15cm. Hitunglah luas permukaan kerucut!
saya mau nanya min, kalau L=225πcm², S=16cm. Mencari tingginya bagaimana, sedangkan jari jari nya belum diketahui?
Tolong bantu....
Diketahui luas sebuah permukaan kerucut 200n cm2. Jika Panjang garis pelukis 17 cm, hitunglah panjang jari-jari kerucut tersebut!
Diketahui luas permukaan kerucut 200π cm². Jika panjang garis pelukis 17 cm, hitunglah panjang jari-jari kerucut tersebut!!
rumus mencari luas alas kerucut jika diketahui volume dan tinggi
Hai kak, bisakah kakak membantu saya mengerjakan ini:
Sebuah kerucut memiliki panjang jari-jari 6cm dan tingi 21cm. Untuk phi=22 per 7, hitunglah volume kerucut itu jika panjang jari-jarinya menjadi:
a. 2 kali panjang jari-jari semula (tinggi tetap)
b. 1 per 3 kali panjang jari-jari semula (tinggi tetap)
Pliss kak jawab